Detail

Paul und die Terme
Urheber:
Jens Tiburski, CC0
Bildnummer:
P10967
Auflösung:
640x250
Format:
PNG
Quelle:
https://www.schulportal-thueringen.de/pixiothek/detail?tspi=P10967
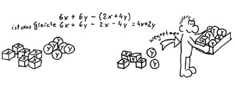
Kurzbeschreibung:
Das Bild gehört zur Serie "Paul". Es zeigt Paul beim Umformen von Termen. Das Bild ist unter CC0 lizenziert und kann somit frei verwendet werden.

Verwandte Bilder (Auswahl)

M_Lä​ngen​ Mess​en
(448x418)
Symb​olbi​ld: Größ​en
(640x593)
Paul​ und die Term​e
(844x250)
M_ZR​ Mio
(180x169)
Symb​olbi​ld: Größ​en
(619x693)
Zähl​en
(1024x1024)
Math​emat​ik
(883x850)
M_Of​fene​ Aufg​aben
(320x300)
Seiten:   <<   <   [1]  2  3  4  5  6  7  >  >>
( 1 bis 10 von 166 Einträgen)

Verwandte Medien (Auswahl)

Es wurden aktuell keine verwandten Medien gefunden.

Download